SDT-visc         Contents     Functions         Previous Next     PDF Index

3.3  Composite blade meshing tutorial

3.3.1  Initial data

The objective of this section is to illustrate strategy proposed to mesh a composite blade possibly containing viscoelastic patches. One starts from

sdtweb d_mesh  NacaSkin % see also meshing steps that were used

xxx the ability to use lsutil to generate cuts at target thickness.


Figure 3.2: Left : initial box mesh and with fixed thickness cuts. Right : area mesh (green and blue) following the target thickness boundaries, partial view of skin mesh (yellow, orange) xxxGV named colors proid/name/color / d_visco nmap colors sdtweb _mtag map:matname xxx

d_visco.tutocompply.init : possibly reload
%% Step init : possibly reload 
% keywords{var{},fcn{sdtu.f.safe,sdtu.logger.status,sdth.sfield}}
f1=sdtu.f.safe('@tempdir/sdtdemos/d_visco_compPly.mat');
sdtu.logger.status('CmdDisp','on');% Turn logViewer on
if exist(f1,'file')
 load(f1,'RA');RA=sdth.sfield('rename;',RA,{'nmap','projM'});
end

if 1==2
    sdtweb t_4sheet docstring
   sdtu.logger.status('CmdDisp','on');
   d_visco keywords
   sdtweb _taglist sdtu.f % Generate idx and thus DocString graphs
end
name cat ToolTip m html TeX
sdtu_f.safe fcn safe html
sdtu_logger.status fcn status html
sdth.sfield fcn sfield m html TeX

3.3.2  Initial mesh generation

d_visco.tutocompply.mesh : initial mesh generation
%% Step mesh : initial mesh generation 
% keywords{var{plyList,MacroLayer,PrePl},fcn{sdtu.fe.boxMacroPly}}

f1=sdtu.f.safe('@tempdir/sdtdemos/d_visco_compPly.mat');
sdtu.logger.status('CmdDisp','on');% Turn logViewer on
if exist(f1,'file')
 load(f1,'RA');RA=sdth.sfield('rename;',RA,{'nmap','projM'});
else;
 RA=d_mesh('nmap.Naca');
 RA.nmap('CurExp')={'MeshCfg{d_mesh(Naca{HyFoilA,zs.1,yn1,unitmm}):empty}','RunCfg{feplot(2)}'};
 sdtm.range.RA); RA=sdth.sfield('rename;',RA,{'nmap','projM'});
 remove(RA.projM,'cf');sdtm.store.f1,'RA>RA')
end

% Define names for each area
mo3=RA.projM('area');if ~isfield(mo3,'nmap');mo3.nmap=vhandle.nmap;end
proM=mo3.nmap('Map:SetName');proM.append({'Pro:1','A1';'Pro:2','A2';'Pro:3','A3'})

% Define the FootStart line as a set in area for later extension
mo3=feutil('addset NodeId',mo3,'FootStart','linetopo{starts 1 32,cos .9}');

RA.projM('PlyDef')=struct( ...
'plyList', ... % define ply list 
  {{'PlyNum','PlyMat','Thick','Orient','sel'
     1,  'X', 0.5, 0,'ProName"(A1|A2|A3)"'
     2,  'U', 1,   0,'ProName"(A1|A2|A3)"'
     3,  'U', 1,  90,'ProName"(A2|A3)"'
     4,  'Y', Inf,   0,'ProName"(A2|A3)"'
     5,  'U', 1,  90,'ProName"(A2|A3)"'
     6,  'U', 1,   0,'ProName"(A1|A2|A3)"'
     7,  'X', 0.5, 0,'ProName"(A1|A2|A3)"'
     }},...
 'MacroLayer', ...  % define macro layers 
    {{'Name','MacroPly','Plies', 'Area','ProIdOut'; 
     'A1Top', 1,        [  1 2], 'A1',1001;
     'A2Top', 1,        [1 2 3], '(A2|A3)',[1002 1003];
     'Insert',2,             4 , 'A3',     2003
     'Fill',  2,             4 , '(A1|A2)',[2001 2002]
     'A1Bot',3,           [6 7], 'A1',   3001;
     'A2Bot', 3,        [5 6 7], '(A2|A3)',[3002 3003]
     }}, ...
'PrePl', ... % define ply materials
  {{'name','X','U','Y';
   'MatId',30,31,32;
   'color','Coral','OrangeRed','DarkOrange';
   'E1',60e3,30e3,14e3;
   'E2',4e3,30e3,14e3;
   'E3',4e3,9e3,7e3;
   'nu12',.3,0.04,0.3;
   'nu13',.3,0.4,0.3;
   'nu23',0.488,0.4,0.35;
   'G12',2e3,2e3,5e3;
   'G13',2e3,2e3,2e3;
   'G23',2e3,2e3,2e3;
   'Rho',1400e-9,1400e-9,1500e-9}});

mo3=sdtu.fe.boxMacroPly(mo3,RA.projM('PlyDef'));mo3.name='area';
RA.projM(mo3.name)=mo3; 
fevisco('MeshPliesViewH',mo3) % 'xxx document error on thickness on layer edges'

if sdtweb('_TutoNeed','figgen')
 cf=feplot(2,';');cf.mdl=RA.projM('area');fecom showfipro
 comgui('imwrite',2,'@tempdir/sdtdemos/plots/d_visco_TutoCompPly_StepMesh.png')
 sdtu.ui.tabChange('SDT Root.Tab.PlyList');gf=gcf;
 cingui('objset',gf,{'Position',[NaN NaN 592 236]})
 comgui('imwrite',gcf,struct('Java',5,'FileName','@tempdir/sdtdemos/plots/d_visco_TutoCompPly_TabPlyList.png'))
 sdtu.ui.tabChange('SDT Root.Tab.PlyList');gf=gcf;
 comgui('imwrite',gcf,struct('Java',5,'FileName','@tempdir/sdtdemos/plots/d_visco_TutoCompPly_TabMacroLayer.png'))
 ta=sdtu.ui.tabChange('SDT Root.Tab.PlyList');ta=ta.Source;
 ta.param.colM.prop('PlyNum').fmt='%i';
 ta.param.colM.prop('Thick').fmt='%.1f';
 asTex(ta)
end
if sdtweb('_TutoNeed','check')
 % if ~isequal()  sdtm.Hash('reproducible',) 
end
name cat ToolTip m html TeX
plyList var \hypertarget{var.plyList} TeX
MacroLayer var \hypertarget{var.MaCroLayer} TeX
PrePl var var.PrePl html
sdtu_fe.boxMacroPly fcn boxMacroPly html
Step mesh illustrates the proposed strategy,

The plyList table gives the relation between ply numbers, the associated material PlyMat, thickness, material orientation with respect to the local xe,ye plane, and selection (see findElt ) of area whose elements are covered by a given ply. The inf in the Y layer indicates that its thickness is variable the insert in this case.

PlyNumPlyMatThickOrientsel
1X0.50ProName"(A1|A2|A3)"
2U1.00ProName"(A1|A2|A3)"
3U1.090ProName"(A2|A3)"
4YInf0ProName"(A2|A3)"
5U1.090ProName"(A2|A3)"
6U1.00ProName"(A1|A2|A3)"
7X0.50ProName"(A1|A2|A3)"

To allow the automated definition of macro plies (volume element combining multiple plies), the MaCroLayer table then gives the name of macro areas, the index of each macro ply, the plies associated with a selected area, and the property number associated with

NameMacroPlyPliesAreaProIdOut
A1Top11 2A11001
A2Top11 2 3(A2|A3)1002 1003
Insert24.0A32003
Fill24.0(A1|A2)2001 2002
A1Bot36 7A13001
A2Bot35 6 7(A2|A3)3002 3003

Finally, the PrePl table gives elastic properties of plies as shown below. This is then used to define an orthotropic material for each macro ply using KUBC homogeneisation [48].

nameXUY
MatId30.031.032.0
colorCoralOrangeRedDarkOrange
E160000.030000.014000.0
E24000.030000.014000.0

xxx texSafeCell

d_visco('TutoCompPly -s{Mesh,SplitSkin} -show -reset -need{figgen,check};') xxxgv/gm revise two icons to run/open code.

Step boxInSkin then projects the area onto the surface. This generates a topological box where there is one hexa8 element through the thickness. Topological box meshes can be used for surfaces quad4 or volumes hexa8.

MeshLayerV2


Figure 3.3: Left : initial box, center : layer meshes with insert in green, fill in yellow and top layer in xxxGV revise assignation of colors Map:ProColor . Right : horizontal and vertical cuts of the mesh.

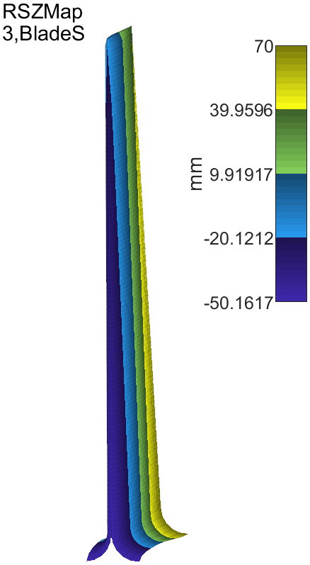
Step RSZMap defines distance maps that will later be used for foot meshing.


Figure 3.4: Definition of coordinate maps

Step MeshRS extends the .area='MacroVol' on the skin with distance maps .skin='RSZMap' xxx 'RSZMap'. An extension is built by giving the following parameters


Figure 3.5: Extended mesh with foot defined

xxx

As the ply definition area does not go to the foot (the skin in figure 3.2 larger), a transition is needed.

To achieve this mesh while following the skin with controlled thickness, one uses a geometric mapping. An r coordinate is set at zero using

StepArea illustrates the ability to use a contour to locally remesh a patch. To allow thickness transitions, the boundary between interior and exterior is meshed using quads. StepOrientArea illustrates the ability to define material orientations, which is needed for composites

A1L1 : edge only one multiply layup

A2L1 : lower face A2L2 : core A2L3 : upper face

A3L1 : lower face A3L2 : core A3L3 : between core and visco A3L4 : visco A3L5 : between visco and upper face

xxxEB Step FootTransition

xxxEB Step OrientSensitivity : xxx sensitivity to material orientation xxx


©1991-2025 by SDTools
Previous Up Next